Abstract
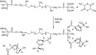
In this study a new branched methacrylated poly(propylene glycol-co-lactic acid) (PPG–PLA–IEM) and methacrylated cellulose acetate butyrate resin (CAB–IEM) were synthesized. Hydrogels with various amounts of PPG–PLA–IEM and CAB–IEM (25, 50 and 75 wt% IEM modified) were prepared by photopolymerization. Collagen tethered PEG–monoacrylate (PEGMA–collagen) was prepared and introduced as a bioactive moiety to modify the hydrogel in order to enhance cell affinity. In vitro attachment and growth of 3T3 mouse fibroblasts and human umbilical vein endothelial cells (HUVEC) on the hydrogels with and without collagen were also investigated. It was observed that, the collagen improves the cell adhesion onto the hydrogel surface. With the increasing amount of collagen, cell viability increased by 28% for ECV304 (P < 0.05) and 30% for 3T3 (P < 0.05).


















Similar content being viewed by others
References
Dawson IJ, Wahl AD, Lanham AS, Kanczler JM, Czernuszka TJ, Oreffo OCR. Development of specific collagen scaffolds to support the osteogenic and chondrogenic differentiation of human bone marrow stromal cells. Biomaterials. 2008;29:3105–3116. doi:10.1016/j.biomaterials.2008.03.040.
Vunjak-Novakovic G, Freshney IR. Culture of cells for tissue engineering. NY: John Wiley & Sons, Inc; 2006.
Salgado AJ, Coutinho OP, Reis RL. Novel starch-based scaffolds for bone tissue engineering: cytotoxicity, cell culture, and protein expression. Tissue Eng. 2004;10:465–74. doi:10.1089/107632704323061825.
Shin H, Ruhe PQ, Mikos AG, Jansen AJ. In vivo bone and soft tissue response to injectable, biodegradable oligo(poly(ethylene glycol) fumarate) hydrogels. Biomaterials. 2003;24:3201–11. doi:10.1016/S0142-9612(03)00168-6.
Schuster M, Turecek C, Kaiser B, Stampfl J, Liska R, Varga F. Evaluation of biocompatible photopolymers II: further reactive diluents. J Macromol Sci A Pure Appl Chem. 2007;44:261–8. doi:10.1007/s00706-007-0609-2.
Freeman JW, Kwansa AL. Recent advancements in ligament tissue engineering: the use of various techniques and materials for acl repair. Recent Patents Biomed Eng. 2008;1:18–23. doi:1874-7647/08.
Zanetta M, Quirici N, Demarosi F, Tanzi MC, Rimondini L, Farè S. Ability of polyurethane foams to support cell proliferation and the differentiation of MSCs into osteoblasts. Acta Biomaterilia. 2009;5:1126–36. doi:10.1016/j.actbio.2008.12.003.
Gunatillake PA, Adhikari R. Biodegradable synthetic polymers for tissue engineering. Eur Cells Mater. 2003;5:1.
Akdemir ZS, Akçakaya H, Kahraman MV, Ceyhan T, Apohan NA, Güngör A. Photopolymerized injectable RGD-modified fumarated poly(ethylene glycol) diglycidyl ether hydrogels for cell growth. Macromol Biosci. 2008;8:852–62. doi:10.1002/mabi.200700319.
Thomson RC, Wake MC, Yaszemski MJ, Mikos AG. Advances in polymer science, vol. 122. Berlin, Heidelberg: Springer-Verlag; 1995. doi:10.1007/3-540-58788-8.
Ghosh I, Jaın RK, Glasser WG. Multiphase materials with lignin. XV. Blends of cellulose acetate butyrate with lignin esters. J Appl Polym Sci. 1999;74:448–57.
Holy CE, Shoichet MS, Davies JE. Engineering three-dimensional bone tissue in vitro using biodegradable scaffolds: investigating initial cell-seeding density and culture period. Biomed Mater Res. 2000;51:376–82. doi:10.1002/1097-4636(20000905)51:3<376:AID-JBM11>3.0.CO;2-G.
Mooney DJ, Baldwin DF, Suh NP, Vacanti PJ, Langer R. Novel approach to fabricate porous sponges of poly(d,l-lactic-co-glycolic acid) without the use of organic solvents. Biomaterials. 1996;17:1417–22. doi:10.1016/0142-9612(96)87284-X.
Guidoin MF, Marois Y, Bejui J, Poddevin N, Martin King W, Guidoin R. Analysis of retrieved polymer fiber based replacements for the ACL. Biomaterials. 2000;21:2461–74. doi:10.1016/S0142-9612(00)00114-9.
Washburn NR, Simon CG, Tona A, Elgendy MH, Karim A, Amis JE. Co-extrusion of biocompatible polymers for scaffolds with co-continuous morphology. J Biomed Mater Res. 2002;60:20–9. doi:10.1002/jbm.10049.
Shea LD, Wang D, Franceschi RT. Engineered bone development from a pre-osteoblast cell line on three-dimensional scaffolds. Tissue Eng. 2000;6:605–17. doi:10.1089/10763270050199550.
Madihally SV, Matthew HWT. Porous chitosan scaffolds for tissue engineering. Biomaterials. 1999;20:1133–42. doi:10.1016/S0142-9612(99)00011-3.
Liao S, Murugan R, Chan KC, Ramakrishna S. Processing nanoengineered scaffolds through electrospinning and mineralization suitable for biomimetic bone tissue engineering. J Mech Beh Biomed Mater. 2008;1:252–60. doi:10.1016/j.jmbbm.2008.01.007.
Nguyen KY, West LJ. Photopolymerizable hydrogels for tissue engineering applications. Biomaterials. 2002;23:4307–14. doi:10.1016/S0142-9612(02)00175-8.
Grijpma WD, Hou Q, Feijen J. Preparation of biodegradable networks by photo-crosslinking lactide, ε-caprolactone and trimethylene carbonate-based oligomers functionalized with fumaric acid monoethyl ester. Biomaterials. 2005;26:2795–802. doi:10.1016/j.biomaterials.2004.08.002.
Jayabalan M, Vinoy Thomas V, Rajesh PN. Polypropylene fumarate/phloroglucinol triglycidyl methacrylate blend for use as partially biodegradable orthopaedic cement. Biomaterials. 2001;22:2749–57. doi:10.1016/S0142-9612(01)00018-7.
Lin-Gibson S, Bencherif S, Cooper JA, Wetzel SJ, Antonucci JM, Vogel BM, et al. Synthesis and characterization of PEG dimethacrylates and their hydrogels. Biomacromol. 2004;5:1280–7. doi:10.1021/bm0498777.
Young SJ, Gonzales KD, Anseth SK. Photopolymers in orthopedics: characterization of novel crosslinked polyanhydrides. Biomaterials. 2000;21:1181–8. doi:10.1016/S0142-9612(00)00018-1.
Murugan R, Ramakrishna S. Bioresorbable composite bone paste using polysaccharide based nano hydroxyapatite. Biomaterials. 2004;25:3829–35. doi:10.1016/j.biomaterials.2003.10.016.
Chen M, Zhao YM, Sun HH, Jin T, Wang QT, Zhou W, et al. Novel glycidyl methacrylated dextran (Dex-GMA)/gelatin hydrogel scaffolds containing microspheres loaded with bone morphogenetic proteins: formulation and characteristics. J Control Rel. 2007;118:65–77. doi:10.1016/j.jconrel.2006.11.016.
Wang T, Cheng G, Ma S, Cai Z, Zhang L. Crystallization behavior, mechanical properties, and environmental biodegradability of poly(-hydroxybutyrate)/cellulose acetate butyrate blends. J Appl Polym Sci. 2003;89:2116–22. doi:10.1002/app.12359.
Prasitsilp M, Siriwittayakorn T, Molloy R, Suebsanit N, Siriwittayakorn P, Veeranondha S. Cytotoxicity study of homopolymers and copolymers of 2-hydroxyethyl methacrylate and some alkyl acrylates for potential use as temporary skin substitutes. J Mater Sci Mater Med. 2003;7:595–600. doi:10.1023/A:1024066806347.
Chan-Park MB, Zhu AP, Shen JY, Fan AL. Novel photopolymerizable biodegradable triblock polymers for tissue engineering scaffolds: synthesis and characterization. Macromol Biosci. 2004;4:665–73. doi:10.1002/mabi.200300139.
Düz AB, Hızal G, Yağcı Y. Block copolymers by transformation of living ring opening polymerization into an initer process. Eur Polym J. 2000;36:1373–8. doi:10.1016/S0014-3057(99)00189-5.
Mossman T. Rapid colorimetric assay for cellular growth and survival: application to proliferation and cytotoxicity assays. J Immunol Methods. 1983;65:55–63. doi:10.1016/0022-1759(83)90303-4.
Burdick JA, Anseth KS. Photoencapsulation of osteoblasts in injectable RGD-modified PEG hydrogels for bone tissue engineering. Biomaterials. 2002;23:4315–23. doi:10.1016/S0142-9612(02)00176-X.
Guo K, Chu CC. Synthesis and characterization of novel biodegradable unsaturated poly(ester amide)/poly(ethylene glycol) diacrylate hydrogels. J Polym Sci A Polym Chem. 2005;43:3932–44. doi:10.1002/pola.20781.
Wu YC, Shaw SY, Lin HR, Lee TM, Yang CY. Bone tissue engineering evaluation based on rat calvaria stromal cells cultured on modified PLGA scaffolds. Biomaterials. 2006;27:896–904.
Ma Z, Gao C, Ji J, Shen J. Protein immobilization on the surface of poly-l-lactic acid films for improvement of cellular interactions. Eur Polym J. 2002;38:2279–84. doi:10.1016/S0014-3057(02)00119-2.
Van-Wachem PB, Beugelling T, Feijen J, Bantjes A, Detmers JP, Van Aken WG. nteraction of cultured human endothelial cells with polymeric surfaces of different wettabilities. Biomaterials. 1985;6:403–18. doi:10.1016/0142-9612(85)90101-2.
Venkatram Shastri P. US Patent No. 6,730,772 B2; 2004.
Wang L, Wilshaw SP, Korossis S, Fisher J, Jin Z, Ingham E. Factors ınfluencing the oxygen consumption rate of aortic valve ınterstitial cells: application to tissue engineering. Tissue Eng C. 2009;15:355–63. doi:10.1089/ten.tea.2008.0415.
Umare SS, Chandure AS, Pandey RA. Synthesis, characterization and biodegradable studies of 1, 3-propanediol based polyesters. Polym Deg Stab. 2007;92:464–79. doi:10.1016/j.polymdegradstab.2006.10.007.
Apohan NK, Yılmaz OK, Baysal K, Baysal BM. Poly(d,l-lactic acid)/triblock PCL–PDMS–PCL copolymers: synthesis, characterization and demonstration of their cell growth effects in vitro. Polymer. 2001;42:4109–16. doi:10.1016/S0032-3861(00)00814-4.
Lee KY, Bouhadir KH, Money DJ. Degradation behaviour of covalnetly crosslinked poly(aldehyde guluronate) hydrogels. Macromolecules. 2000;33:97–101.
Timmer MD, Ambrose C, Mikos AG. In vitro degradation of polymeric networks of poly(propylene fumarate) and the crosslinking macromer poly(propylene fumarate)-diacrylate. Biomaterials. 2003;24:571–7. doi:10.1016/S0142-9612(02)00368-X.
Bosch P, Del Monte F, Mateo JL, Levy D. Photopolymerization of hydroxyethylmethacrylate in the formation of organic–inorganic hybrid sol-gel matrices. J Polym Sci A Polym Chem. 1996;34:3289–96. doi:10.1002/(SICI)1099-0518(19961130)34:16<3289:AID-POLA4>3.0.CO;2-P.
Yu Q, Nauman S, Santerre PJ, Zhu S. UV photopolymerization behavior of dimethacrylate oligomers with camphorquinone/amine initiator system. J Appl Polym Sci. 2001;82:1107–17. doi:10.1002/app.1945.
Andrzejewska E. Calorimetric study of photopolymerisation of divinyl monomers. Macromol Symp. 2001;171:243–51. doi:10.1002/1521-3900(200106)171:1<243:AID-MASY243>3.0.CO;2-1.
Scott A, Guelcher Jonathan E. Didier Jeffrey O. Hollinger, biodegradable polyurethanes. Patent no: WO/2007/123536.
Han B, Huang LLH, Cheung D, Cordoba F, Nimni M. Polypeptide growth factors with collagen binding domain:Their potential for tissue repair and organ regeneration. In: Zila P, Greisler HP, editors. Tissue engineering of vascular prosthetic grafts. Austin: RG Landes; 1999. p. 7–299.
Chakrabarti R, Kundu S, Kumar S, Chakrabarti R. Vitamin A as an enzyme that catalyzes the reduction of MTT to formazan by vitamin C. J Cell Biochem. 2000;80:133–8. doi:10.1002/1097-4644(20010101)80:1<133:AID-JCB120>3.0.CO;2-T.
Eberli D, Susaeta R, Yoo JJ, Atala A. A method to ımprove cellular content for corporal tissue engineering. Tissue Eng A. 2008;14:1581–9. doi:10.1089/ten.tea.2007.0249.
Acknowledgements
This work was supported by TUBITAK TBAG Project No: 105T254.
Author information
Authors and Affiliations
Corresponding author
Rights and permissions
About this article
Cite this article
Bayramoğlu, G., Kayaman-Apohan, N., Akçakaya, H. et al. Preparation of collagen modified photopolymers: a new type of biodegradable gel for cell growth. J Mater Sci: Mater Med 21, 761–775 (2010). https://doi.org/10.1007/s10856-009-3929-4
Received:
Accepted:
Published:
Issue date:
DOI: https://doi.org/10.1007/s10856-009-3929-4


